Logo
Explore Help
Sign In
crowetic/protocol
1
0
Fork 0
You've already forked protocol
Code Issues Pull Requests Actions Packages Projects Releases Wiki Activity
Files
jlin27-protocol-docs-update
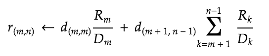
protocol/docs/_static/staking/reward_tracking/Reward-Final.png
T
Greg Hysz 3c1ab889dd V4 Docs. See live on https://0xprotocol.readthedocs.io. (#56)
2020-11-28 00:51:50 -08:00

14 KiB
544x114px
Raw Permalink History

/crowetic/protocol/raw/branch/jlin27-protocol-docs-update/docs/_static/staking/reward_tracking/Reward-Final.png
Reference in New Issue View Git Blame Copy Permalink
Powered by Gitea Version: 1.26.1 Page: 39ms Template: 5ms
Auto
English
Bahasa Indonesia Deutsch English Español Français Gaeilge Italiano Latviešu Magyar nyelv Nederlands Polski Português de Portugal Português do Brasil Suomi Svenska Türkçe Čeština Ελληνικά Български Русский Українська فارسی മലയാളം 日本語 简体中文 繁體中文(台灣) 繁體中文(香港) 한국어
Licenses API